Test Chimie Clasa 9

Probă De Evaluare La Chimie Clasa A 9 A

Probă De Evaluare La Chimie Clasa A 9 A

Chi Grosu Madalina Test Evaluare Initiala Chimie Clasa A Xii A By Lidia Dumitrescu Issuu

Chi Grosu Madalina Test Evaluare Initiala Chimie Clasa A Xii A By Lidia Dumitrescu Issuu

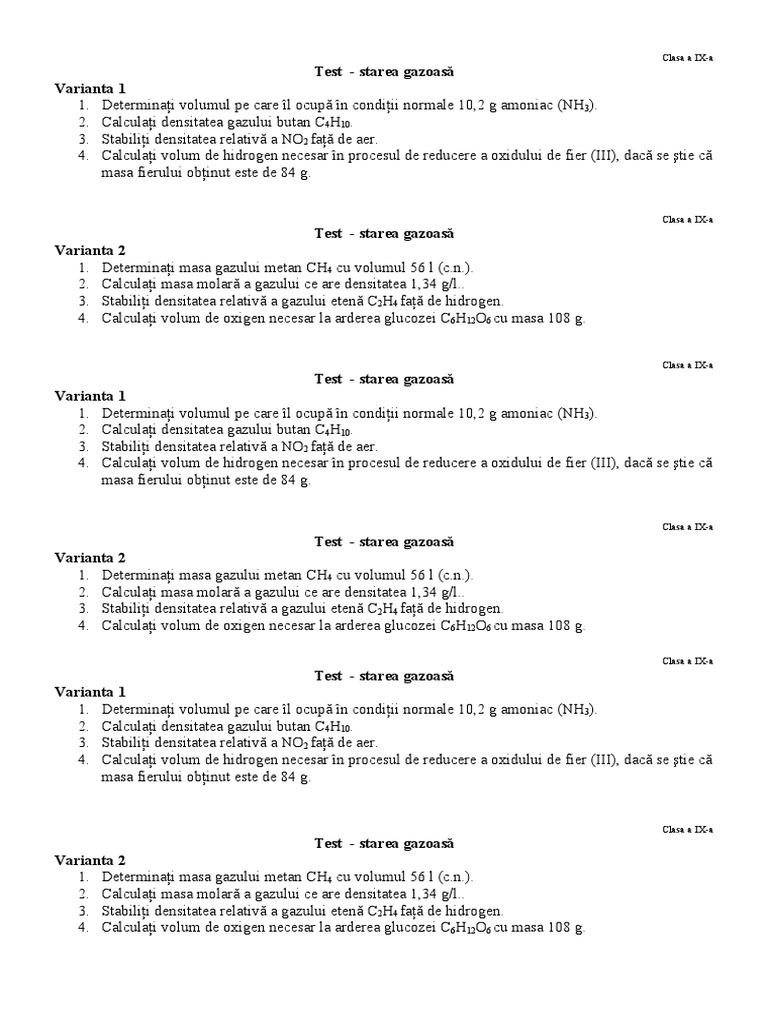
Model Test Clasa A Ix A La Chimie Anorganica

Model Test Clasa A Ix A La Chimie Anorganica

Model Test Clasa A Ix A La Chimie Anorganica

Model Test Clasa A Ix A La Chimie Anorganica

Test Materie Corp Sunbst Si Fenomene

Test Materie Corp Sunbst Si Fenomene

Test De Evaluare Iniţială Clasa A Ix A

Test De Evaluare Iniţială Clasa A Ix A

Test De Evaluare Iniţială Clasa A Ix A

Rezolvă acum teste chimie de pe platforma educațională kidibot și câștigă super premii.

Test chimie clasa 9. Mihaelacan77 22 materiale. 3 au spus mulţumesc. Other results for test initial chimie cls 9. 0 stele 0 review uri.

Hai sa vedem ce nota ai lua daca ai da un test la chimie. Ce poveste iti spune piatra pretioasa preferata. Găsiți aici subiectele propuse pentru clasa a 9 a la olimpiada de chimie etapa municipiu din ultimii ani. Scopul nostru este să ne concentrăm pe prezentarea noțiunilor și fenomenelor într o manieră care să stimuleze înțelegerea și nu memorarea mecanică.

Testul de evaluare inițială verifică cunoștințele din domeniul chimiei acumulate de elevi în clasele gimnaziale și constituie baza de pornire pentru studiul chimiei în clasa a ix a. Clasa a ix a. 3 iulie 2015 09 53. 0 stele 0 review uri.

Test chimie clasa a ix a barem. Test de evaluare iniţială. Test initial chimie 8 1 scribd. învăţământ liceal chimie teste clasa a 9 a.

Chimie clasa 9 probleme rezolvate probleme rezolvate chimie clasa 9 chimie clasa a 9 a probleme rezolvate probleme rezolvate chimie clasa a 9 a. Test structura atomului sp. Lecții virtuale își propune să faciliteze accesul la. In anul 1536 d.

Lecții virtuale este o platformă educațională care oferă filme și teste cu indicații ce conțin rezolvare completă pe pași la materiile matematică fizică și chimie. Intr o lucrare de aritmetica a matematicianului regius apare al cincilea numar perfect cunoscut. Ajută ți echipa să câștige lupta împotriva extratereștrilor crocobeți. 26 august 2017 09 25.

Vrei mai mult. Test initial clasa a ix a. 16 octombrie 2007 21 08. Carbon hidrogen oxigen sulf azot fosfor si halogenii fluor clor brom.

Subiecte sector clasa a 9 a. Test de evaluare inițială cl. Teste de evaluare sumativa. Disciplina chimie clasa a viii a.

26 ianuarie 2017 arhiva subiecte sector clasa a 9 a olimpiada de sector rezolvari subiecte rezolvări clasa a ix a subiecte.

Cls 9 Sem 2 Varianta 2

Cls 9 Sem 2 Varianta 2

Test Initial A 9 A

Test Initial A 9 A

Test Initial Clasa A Ix 2012

Test Initial Clasa A Ix 2012

Stare Gazoasa

Stare Gazoasa

Test Initial Clasa X Bio

Test Initial Clasa X Bio

Ajutor Test De Evaluare La Chimie Urgeeent Brainly Ro

Ajutor Test De Evaluare La Chimie Urgeeent Brainly Ro

Test Atom

Test Atom

Test De Evaluare Sumativă La Chimie Clasa A Viii

Test De Evaluare Sumativă La Chimie Clasa A Viii

Test 9 Interactiuni

Test 9 Interactiuni

Teste Admitere

Teste Admitere

Test Initial Biologie Clasa 9

Test Initial Biologie Clasa 9

0 Proba De Evaluare Legaturi Chimice

0 Proba De Evaluare Legaturi Chimice

Test Chimie Clasa A Ix A Barem Marinmorar 26 08 2017

Test Chimie Clasa A Ix A Barem Marinmorar 26 08 2017

Test Cls Vii 2 Interactive Worksheet

Test Cls Vii 2 Interactive Worksheet

Chimie Clasa 9 Culegere De Teste Pdf Free Download

Chimie Clasa 9 Culegere De Teste Pdf Free Download

Ppt Soluţii Clasa A Ix A Powerpoint Presentation Free Download Id 4611010

Ppt Soluţii Clasa A Ix A Powerpoint Presentation Free Download Id 4611010

Lumea Lui Scolarel Test De Evaluare Inițială Clasa A Iii A Pie Chart Chart

Lumea Lui Scolarel Test De Evaluare Inițială Clasa A Iii A Pie Chart Chart

Test Initial Clasa A Ix A Didactic Ro Initials Test Person

Test Initial Clasa A Ix A Didactic Ro Initials Test Person

Test Intervale Clasa A Viii A Didactic Ro Viii Test Education

Test Intervale Clasa A Viii A Didactic Ro Viii Test Education

Sumele Lui Gauss Pe 123edu Ro Bullet Journal Journal Blog

Sumele Lui Gauss Pe 123edu Ro Bullet Journal Journal Blog

Times Tables Tests 6 7 8 9 11 12 Times Tables 3rd Grade Math Worksheets Math Test Times Tables Test

Times Tables Tests 6 7 8 9 11 12 Times Tables 3rd Grade Math Worksheets Math Test Times Tables Test

Test Evaluare Clasa A Viii A Operatii Cu Numere Reale Calcule Cu Radicali Nionel 05 11 2013 Mathematician School Person

Test Evaluare Clasa A Viii A Operatii Cu Numere Reale Calcule Cu Radicali Nionel 05 11 2013 Mathematician School Person

Example Of Isn For Physical And Chemical Changes Physical Science Matter Science Science Blog

Example Of Isn For Physical And Chemical Changes Physical Science Matter Science Science Blog

Multiply By 5 Multiplication Quiz Multiplication Quiz Multiplication Worksheets Multiplication Facts Worksheets

Multiply By 5 Multiplication Quiz Multiplication Quiz Multiplication Worksheets Multiplication Facts Worksheets

Source : pinterest.com